Identificarse Registrarse

Psu
Enseñanza Básica
Enseñanza Media
Universidad
Olimpiadas
Comunidad



 
Reply to this topicStart new topic
> C2 Lic. en Matemática, MAT1305 - 1S, 2007
Pily
mensaje Jan 3 2008, 02:07 PM
Publicado: #1


Dios Matemático
Ícono de Grupo

Grupo: Usuario FMAT
Mensajes: 365
Registrado: 27-May 05
Desde: Puente Asalto, Santiago
Miembro Nº: 68
Nacionalidad:
Colegio/Liceo: Colegio Santa Maria de la Cordillera
Sexo:



TEX: \begin{enumerate}\item Demuestre que en todo tri\'angulo ABC se cumple que: <br />$\dfrac{1}{h_a}+\dfrac{1}{h_b}+\dfrac{1}{h_c}=\dfrac{1}{\rho}$. \item\begin{enumerate} <br />Resuelva la ecuaci\'on: $Arccos(x) - Arcsen(x) = Arccos(x\sqrt{3}) .$ <br />\end{enumerate}\item Resuelva la ecuaci\'on: <br />$\operatorname{sen} 5\theta - \operatorname{sen} 3\theta <br />= \sqrt{2}\cos 4\theta .$\end{enumerate}



Mensaje modificado por Pily el Jan 3 2008, 02:20 PM


--------------------
Go to the top of the page
 
+Quote Post
Abu-Khalil
mensaje Jan 3 2008, 10:01 PM
Publicado: #2


Dios Matemático Supremo
Ícono de Grupo

Grupo: Usuario FMAT
Mensajes: 3.812
Registrado: 4-November 07
Desde: Santiago
Miembro Nº: 12.213
Nacionalidad:
Colegio/Liceo: The English Institute
Universidad: Universidad Catolica de Chile-Facultad de Ingenieria
Sexo:



No sé si ta bn, pq no sé trabajar mucho con ecuaciones trigonométricas pero al menos el resultado tiene sentido D: !



TEX: \begin{equation*}\begin{aligned}<br />\arccos{x} - \arcsin{x} &= \arccos{x\sqrt{3}}\\<br />\theta_1 - (\dfrac{\pi}{2} - \theta_1) &= \theta_2\\<br />2\theta_1 - \dfrac{\pi}{2} &= \theta_2\\<br />\sin{(2\theta_1-\dfrac{\pi}{2})} &= \sin{\theta_2}\\<br />\sin{2\theta_1}\cos{\dfrac{\pi}{2}}-\sin{\dfrac{\pi}{2}}\cos{2\theta_1} &= \sin{\theta_2}\\<br />-\cos^2{\theta_1}+\sin^2{\theta_1} &= \sin{\theta_2}\\<br />(1-x^2) - x^2 &= \sqrt{1-3x^2}\\<br />4x^4 - 4x^2 &= 3x^2\\<br />x^2(4x^2-1) &= 0\\<br />x &= \dfrac{1}{2}\\<br />\end{aligned}\end{equation*}

Mensaje modificado por Abu-Khalil el Jan 4 2008, 08:45 PM


--------------------
Go to the top of the page
 
+Quote Post
Naxoo
mensaje Jan 31 2008, 04:12 PM
Publicado: #3


Staff FMAT
Ícono de Grupo

Grupo: Moderador
Mensajes: 2.604
Registrado: 2-March 07
Desde: Somewhere over the rainbow
Miembro Nº: 4.244
Nacionalidad:
Colegio/Liceo: Instituto Nacional
Universidad: Universidad de Chile-FCFM2
Sexo:



CITA(Pily @ Jan 3 2008, 05:07 PM) *
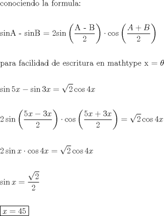
TEX: <br />% MathType!MTEF!2!1!+-<br />% feaafiart1ev1aaatCvAUfeBSjuyZL2yd9gzLbvyNv2CaerbuLwBLn<br />% hiov2DGi1BTfMBaeXatLxBI9gBaerbd9wDYLwzYbItLDharqqtubsr<br />% 4rNCHbGeaGqiVu0Je9sqqrpepC0xbbL8F4rqqrFfpeea0xe9Lq-Jc9<br />% vqaqpepm0xbba9pwe9Q8fs0-yqaqpepae9pg0FirpepeKkFr0xfr-x<br />% fr-xb9adbaqaaeGaciGaaiaabeqaamaabaabaaGcbaGaci4CaiaacM<br />% gacaGGUbGaaGynaiabeI7aXjabgkHiTiGacohacaGGPbGaaiOBaiaa<br />% iodacqaH4oqCcqGH9aqpdaGcaaqaaiaaikdaaSqabaGcciGGJbGaai<br />% 4BaiaacohacaaI0aGaeqiUdehaaa!48A0!<br />\[<br />\sin 5\theta  - \sin 3\theta  = \sqrt 2 \cos 4\theta <br />\]<br />


TEX: % MathType!MTEF!2!1!+-<br />% feaafiart1ev1aaatCvAUfeBSjuyZL2yd9gzLbvyNv2CaerbuLwBLn<br />% hiov2DGi1BTfMBaeXatLxBI9gBaerbd9wDYLwzYbItLDharqqtubsr<br />% 4rNCHbGeaGqiVu0Je9sqqrpepC0xbbL8F4rqqrFfpeea0xe9Lq-Jc9<br />% vqaqpepm0xbba9pwe9Q8fs0-yqaqpepae9pg0FirpepeKkFr0xfr-x<br />% fr-xb9adbaqaaeGaciGaaiaabeqaamaabaabaaGceaqabeaacaqGJb<br />% Gaae4Baiaab6gacaqGVbGaae4yaiaabMgacaqGLbGaaeOBaiaabsga<br />% caqGVbGaaeiiaiaabYgacaqGHbGaaeiiaiaabAgacaqGVbGaaeOCai<br />% aab2gacaqG1bGaaeiBaiaabggacaqG6aaabaaabaGaae4CaiaabMga<br />% caqGUbGaaeyqaiaab2cacaqGZbGaaeyAaiaab6gacaqGcbGaaeypai<br />% aabkdacaqGZbGaaeyAaiaab6gadaqadaqaamaalaaabaGaaeyqaiaa<br />% b2cacaqGcbaabaGaaeOmaaaaaiaawIcacaGLPaaacqGHflY1ciGGJb<br />% Gaai4BaiaacohadaqadaqaamaalaaabaGaamyqaiabgUcaRiaadkea<br />% aeaacaaIYaaaaaGaayjkaiaawMcaaaqaaaqaaiaabchacaqGHbGaae<br />% OCaiaabggacaqGGaGaaeOzaiaabggacaqGJbGaaeyAaiaabYgacaqG<br />% PbGaaeizaiaabggacaqGKbGaaeiiaiaabsgacaqGLbGaaeiiaiaabw<br />% gacaqGZbGaae4yaiaabkhacaqGPbGaaeiDaiaabwhacaqGYbGaaeyy<br />% aiaabccacaqGLbGaaeOBaiaabccacaqGTbGaaeyyaiaabshacaqGOb<br />% GaaeiDaiaabMhacaqGWbGaaeyzaiaabccacaqG4bGaaeypaiabeI7a<br />% XbqaaaqaaiGacohacaGGPbGaaiOBaiaaiwdacaWG4bGaeyOeI0Iaci<br />% 4CaiaacMgacaGGUbGaaG4maiaadIhacqGH9aqpdaGcaaqaaiaaikda<br />% aSqabaGcciGGJbGaai4BaiaacohacaaI0aGaamiEaaqaaaqaaiaaik<br />% daciGGZbGaaiyAaiaac6gadaqadaqaamaalaaabaGaaGynaiaadIha<br />% cqGHsislcaaIZaGaamiEaaqaaiaaikdaaaaacaGLOaGaayzkaaGaey<br />% yXICTaci4yaiaac+gacaGGZbWaaeWaaeaadaWcaaqaaiaaiwdacaWG<br />% 4bGaey4kaSIaaG4maiaadIhaaeaacaaIYaaaaaGaayjkaiaawMcaai<br />% abg2da9maakaaabaGaaGOmaaWcbeaakiGacogacaGGVbGaai4Caiaa<br />% isdacaWG4baabaaabaGaaGOmaiGacohacaGGPbGaaiOBaiaadIhacq<br />% GHflY1ciGGJbGaai4BaiaacohacaaI0aGaamiEaiabg2da9maakaaa<br />% baGaaGOmaaWcbeaakiGacogacaGGVbGaai4CaiaaisdacaWG4baaba<br />% aabaGaci4CaiaacMgacaGGUbGaamiEaiabg2da9maalaaabaWaaOaa<br />% aeaacaaIYaaaleqaaaGcbaGaaGOmaaaaaeaaaeaadaqjEaqaaiaadI<br />% hacqGH9aqpcaaI0aGaaGynaaaaaaaa!D428!<br />\[<br />\begin{gathered}<br />  {\text{conociendo la formula:}} \hfill \\<br />   \hfill \\<br />  {\text{sinA - sinB = 2sin}}\left( {\frac{{{\text{A - B}}}}<br />{{\text{2}}}} \right) \cdot \cos \left( {\frac{{A + B}}<br />{2}} \right) \hfill \\<br />   \hfill \\<br />  {\text{para facilidad de escritura en mathtype x = }}\theta  \hfill \\<br />   \hfill \\<br />  \sin 5x - \sin 3x = \sqrt 2 \cos 4x \hfill \\<br />   \hfill \\<br />  2\sin \left( {\frac{{5x - 3x}}<br />{2}} \right) \cdot \cos \left( {\frac{{5x + 3x}}<br />{2}} \right) = \sqrt 2 \cos 4x \hfill \\<br />   \hfill \\<br />  2\sin x \cdot \cos 4x = \sqrt 2 \cos 4x \hfill \\<br />   \hfill \\<br />  \sin x = \frac{{\sqrt 2 }}<br />{2} \hfill \\<br />   \hfill \\<br />  \boxed{x = 45} \hfill \\ <br />\end{gathered} <br />\]<br />

saludos smile.gif

editado: con respeto a la 1 se podria decir que p (rho) es circunradio?

Mensaje modificado por naxoobkn el Jan 31 2008, 04:29 PM


--------------------

INRIA - Francia, Sophia Antipolis
Biocore Team
Ingeniero Civil en Biotecnología
Ingeniería Civil Químico




“(…) los elementos que él (¿o Él?) [Dios] mismo nos ha dado (raciocinio, sensibilidad, intuición) no son en absoluto suficientes como para garantizarnos ni su existencia ni su no existencia. Gracias a una corazonada puedo creer en Dios y acertar o no creer en Dios y también acertar"

Mario Benedetti


TEX: \[\iiint\limits_\Omega  {\left( {\nabla  \cdot \vec F} \right)dV} = \iint\limits_{\partial \Omega } {\left( {\vec F \cdot \hat n} \right)}dS\]<br />
Go to the top of the page
 
+Quote Post
Rurouni Kenshin
mensaje Jan 31 2008, 05:25 PM
Publicado: #4


Webmaster
Ícono de Grupo

Grupo: Administrador
Mensajes: 6.692
Registrado: 13-May 05
Desde: Santiago Centro
Miembro Nº: 2
Nacionalidad:
Sexo:



CITA(naxoobkn @ Jan 31 2008, 06:12 PM) *
TEX: % MathType!MTEF!2!1!+-<br />% feaafiart1ev1aaatCvAUfeBSjuyZL2yd9gzLbvyNv2CaerbuLwBLn<br />% hiov2DGi1BTfMBaeXatLxBI9gBaerbd9wDYLwzYbItLDharqqtubsr<br />% 4rNCHbGeaGqiVu0Je9sqqrpepC0xbbL8F4rqqrFfpeea0xe9Lq-Jc9<br />% vqaqpepm0xbba9pwe9Q8fs0-yqaqpepae9pg0FirpepeKkFr0xfr-x<br />% fr-xb9adbaqaaeGaciGaaiaabeqaamaabaabaaGceaqabeaacaqGJb<br />% Gaae4Baiaab6gacaqGVbGaae4yaiaabMgacaqGLbGaaeOBaiaabsga<br />% caqGVbGaaeiiaiaabYgacaqGHbGaaeiiaiaabAgacaqGVbGaaeOCai<br />% aab2gacaqG1bGaaeiBaiaabggacaqG6aaabaaabaGaae4CaiaabMga<br />% caqGUbGaaeyqaiaab2cacaqGZbGaaeyAaiaab6gacaqGcbGaaeypai<br />% aabkdacaqGZbGaaeyAaiaab6gadaqadaqaamaalaaabaGaaeyqaiaa<br />% b2cacaqGcbaabaGaaeOmaaaaaiaawIcacaGLPaaacqGHflY1ciGGJb<br />% Gaai4BaiaacohadaqadaqaamaalaaabaGaamyqaiabgUcaRiaadkea<br />% aeaacaaIYaaaaaGaayjkaiaawMcaaaqaaaqaaiaabchacaqGHbGaae<br />% OCaiaabggacaqGGaGaaeOzaiaabggacaqGJbGaaeyAaiaabYgacaqG<br />% PbGaaeizaiaabggacaqGKbGaaeiiaiaabsgacaqGLbGaaeiiaiaabw<br />% gacaqGZbGaae4yaiaabkhacaqGPbGaaeiDaiaabwhacaqGYbGaaeyy<br />% aiaabccacaqGLbGaaeOBaiaabccacaqGTbGaaeyyaiaabshacaqGOb<br />% GaaeiDaiaabMhacaqGWbGaaeyzaiaabccacaqG4bGaaeypaiabeI7a<br />% XbqaaaqaaiGacohacaGGPbGaaiOBaiaaiwdacaWG4bGaeyOeI0Iaci<br />% 4CaiaacMgacaGGUbGaaG4maiaadIhacqGH9aqpdaGcaaqaaiaaikda<br />% aSqabaGcciGGJbGaai4BaiaacohacaaI0aGaamiEaaqaaaqaaiaaik<br />% daciGGZbGaaiyAaiaac6gadaqadaqaamaalaaabaGaaGynaiaadIha<br />% cqGHsislcaaIZaGaamiEaaqaaiaaikdaaaaacaGLOaGaayzkaaGaey<br />% yXICTaci4yaiaac+gacaGGZbWaaeWaaeaadaWcaaqaaiaaiwdacaWG<br />% 4bGaey4kaSIaaG4maiaadIhaaeaacaaIYaaaaaGaayjkaiaawMcaai<br />% abg2da9maakaaabaGaaGOmaaWcbeaakiGacogacaGGVbGaai4Caiaa<br />% isdacaWG4baabaaabaGaaGOmaiGacohacaGGPbGaaiOBaiaadIhacq<br />% GHflY1ciGGJbGaai4BaiaacohacaaI0aGaamiEaiabg2da9maakaaa<br />% baGaaGOmaaWcbeaakiGacogacaGGVbGaai4CaiaaisdacaWG4baaba<br />% aabaGaci4CaiaacMgacaGGUbGaamiEaiabg2da9maalaaabaWaaOaa<br />% aeaacaaIYaaaleqaaaGcbaGaaGOmaaaaaeaaaeaadaqjEaqaaiaadI<br />% hacqGH9aqpcaaI0aGaaGynaaaaaaaa!D428!<br />\[<br />\begin{gathered}<br />  {\text{conociendo la formula:}} \hfill \\<br />   \hfill \\<br />  {\text{sinA - sinB = 2sin}}\left( {\frac{{{\text{A - B}}}}<br />{{\text{2}}}} \right) \cdot \cos \left( {\frac{{A + B}}<br />{2}} \right) \hfill \\<br />   \hfill \\<br />  {\text{para facilidad de escritura en mathtype x = }}\theta  \hfill \\<br />   \hfill \\<br />  \sin 5x - \sin 3x = \sqrt 2 \cos 4x \hfill \\<br />   \hfill \\<br />  2\sin \left( {\frac{{5x - 3x}}<br />{2}} \right) \cdot \cos \left( {\frac{{5x + 3x}}<br />{2}} \right) = \sqrt 2 \cos 4x \hfill \\<br />   \hfill \\<br />  2\sin x \cdot \cos 4x = \sqrt 2 \cos 4x \hfill \\<br />   \hfill \\<br />  \sin x = \frac{{\sqrt 2 }}<br />{2} \hfill \\<br />   \hfill \\<br />  \boxed{x = 45} \hfill \\ <br />\end{gathered} <br />\]<br />

saludos smile.gif

editado: con respeto a la 1 se podria decir que p (rho) es circunradio?

En la primera, TEX: ${\color{red}\rho}$ corresponde al radio de la circunferencia inscrita (inradio).

Saludos jpt_chileno.gif


--------------------
Colegios/Liceos/Universidades en Fmat (Integrate!!!!)

Videos PSU de Funciones (Y tú, ¿Aun estas aproblemado con Funciones?)



Go to the top of the page
 
+Quote Post
Naxoo
mensaje Jan 31 2008, 08:05 PM
Publicado: #5


Staff FMAT
Ícono de Grupo

Grupo: Moderador
Mensajes: 2.604
Registrado: 2-March 07
Desde: Somewhere over the rainbow
Miembro Nº: 4.244
Nacionalidad:
Colegio/Liceo: Instituto Nacional
Universidad: Universidad de Chile-FCFM2
Sexo:



CITA(Rurouni Kenshin @ Jan 31 2008, 08:25 PM) *
En la primera, TEX: ${\color{red}\rho}$ corresponde al radio de la circunferencia inscrita (inradio).

Saludos jpt_chileno.gif



gracias, si es asi entonces pude demostrar esa igualdad smile.gif

TEX: % MathType!MTEF!2!1!+-<br />% feaafiart1ev1aaatCvAUfeBSjuyZL2yd9gzLbvyNv2CaerbuLwBLn<br />% hiov2DGi1BTfMBaeXatLxBI9gBaerbd9wDYLwzYbItLDharqqtubsr<br />% 4rNCHbGeaGqiVu0Je9sqqrpepC0xbbL8F4rqqrFfpeea0xe9Lq-Jc9<br />% vqaqpepm0xbba9pwe9Q8fs0-yqaqpepae9pg0FirpepeKkFr0xfr-x<br />% fr-xb9adbaqaaeGaciGaaiaabeqaamaabaabaaGceaqabeaadaqjua<br />% qaaiaadcfacaGGUaGaamiraiaac6cacaWGrbaaaaqaaaqaamaalaaa<br />% baGaaGymaaqaaiaadIgacaWGHbaaaiabgUcaRmaalaaabaGaaGymaa<br />% qaaiaadIgacaWGIbaaaiabgUcaRmaalaaabaGaaGymaaqaaiaadIga<br />% caWGJbaaaiabg2da9maalaaabaGaaGymaaqaaiabeg8aYbaaaeaaae<br />% aacaqG0bGaaeyzaiaab6gacaqGLbGaaeyBaiaab+gacaqGZbGaaeii<br />% aiaabghacaqG1bGaaeyzaiaabccacaqGZbGaaeyyaiaabkgacaqGLb<br />% GaaeOCaiaabccacaqGXbGaaeyDaiaabwgacaqGGaGaaeiBaiaabgga<br />% caqGGaGaaeyyaiaabYgacaqG0bGaaeyDaiaabkhacaqGHbGaaeiiai<br />% aabohacaqGLbGaaeiiaiaabchacaqG1bGaaeyzaiaabsgacaqGLbGa<br />% aeiiaiaabwgacaqGUbGaae4yaiaab+gacaqGUbGaaeiDaiaabkhaca<br />% qGHbGaaeOCaiaabccacaqGLbGaaeOBaiaabccacaqGMbGaaeyDaiaa<br />% b6gacaqGJbGaaeyAaiaab+gacaqGUbGaaeiiaiaabsgacaqGLbGaae<br />% iiaiaabYgacaqGVbGaae4CaiaabccacaqGSbGaaeyyaiaabsgacaqG<br />% VbGaae4CaaqaaaqaaiaadohacaWGLbGaamyyaiaacQdacaWGibGaey<br />% ypa0ZaaOaaaeaacaWGZbGaaiikaiaadohacqGHsislcaWGHbGaaiyk<br />% aiaacIcacaWGZbGaeyOeI0IaamOyaiaacMcacaGGOaGaam4Caiabgk<br />% HiTiaadogacaGGPaaaleqaaaGcbaaabaWaaSaaaeaacaaIXaaabaWa<br />% aSaaaeaacaaIYaGaamisaaqaaiaadggaaaaaaiabgUcaRmaalaaaba<br />% GaaGymaaqaamaalaaabaGaaGOmaiaadIeaaeaacaWGIbaaaaaacqGH<br />% RaWkdaWcaaqaaiaaigdaaeaadaWcaaqaaiaaikdacaWGibaabaGaam<br />% 4yaaaaaaGaeyypa0ZaaSaaaeaacaWGHbaabaGaaGOmaiaadIeaaaGa<br />% ey4kaSYaaSaaaeaacaWGIbaabaGaaGOmaiaadIeaaaGaey4kaSYaaS<br />% aaaeaacaWGJbaabaGaaGOmaiaadIeaaaGaeyypa0ZaaSaaaeaacaaI<br />% XaaabaGaaGOmaiaadIeaaaGaaiikaiaadggacqGHRaWkcaWGIbGaey<br />% 4kaSIaam4yaiaacMcaaeaaaeaacaqGWbGaaeyzaiaabkhacaqGVbGa<br />% aeiiaiaabogacaqGVbGaaeyBaiaab+gacaqGGaGaaeisaiaabccaca<br />% qGLbGaae4CaiaabccacaqGLbGaaeiBaiaabccacaqGHbGaaeOCaiaa<br />% bwgacaqGHbGaaeiiaiaabsgacaqGLbGaaeiiaiaabwgacaqGSbGaae<br />% iiaiaabsgacaqGLbGaaeiBaiaabccacaqG0bGaaeOCaiaabMgacaqG<br />% HbGaaeOBaiaabEgacaqG1bGaaeiBaiaab+gacaqGSaGaaeiiaiaabY<br />% gacaqGHbGaaeiiaiaabogacaqG1bGaaeyyaiaabYgacaqGGaGaaeiD<br />% aiaabggacaqGTbGaaeOyaiaabMgacaqGLbGaaeOBaiaabccacaqGWb<br />% GaaeyDaiaabwgacaqGKbGaaeyzaiaabccacaqGZbGaaeyzaiaabkha<br />% caqGGaGaaeyzaiaabIhacaqGWbGaaeOCaiaabwgacaqGZbGaaeyyai<br />% aabsgacaqGHbaabaGaae4yaiaab+gacaqGUbGaaeiiaiaabYgacaqG<br />% HbGaaeiiaiaabohacaqGPbGaae4zaiaabwhacaqGPbGaaeyzaiaab6<br />% gacaqG0bGaaeyzaiaabccacaqGMbGaae4BaiaabkhacaqGTbGaaeyD<br />% aiaabYgacaqGHbaabaaabaGaamyyaiaadkhacaWGLbGaamyyaiablo<br />% Bjwjabg2da9maakaaabaGaam4CaiaacIcacaWGZbGaeyOeI0Iaamyy<br />% aiaacMcacaGGOaGaam4CaiabgkHiTiaadkgacaGGPaGaaiikaiaado<br />% hacqGHsislcaWGJbGaaiykaaWcbeaakiabg2da9maalaaabaGaeqyW<br />% diNaaeikaiaabggacaqGRaGaaeOyaiaabUcacaqGJbGaaeykaaqaai<br />% aaikdaaaaaaaa!3140!<br />\[<br />\begin{gathered}<br />  \left. {\underline {\, <br /> {P.D.Q} \,}}\! \right|  \hfill \\<br />   \hfill \\<br />  \frac{1}<br />{{ha}} + \frac{1}<br />{{hb}} + \frac{1}<br />{{hc}} = \frac{1}<br />{\rho } \hfill \\<br />   \hfill \\<br />  {\text{tenemos que saber que la altura se puede encontrar en funcion de los lados}} \hfill \\<br />   \hfill \\<br />  sea:H = \sqrt {s(s - a)(s - b)(s - c)}  \hfill \\<br />   \hfill \\<br />  \frac{1}<br />{{\frac{{2H}}<br />{a}}} + \frac{1}<br />{{\frac{{2H}}<br />{b}}} + \frac{1}<br />{{\frac{{2H}}<br />{c}}} = \frac{a}<br />{{2H}} + \frac{b}<br />{{2H}} + \frac{c}<br />{{2H}} = \frac{1}<br />{{2H}}(a + b + c) \hfill \\<br />   \hfill \\<br />  {\text{pero como H es el area de el del triangulo}}{\text{, la cual tambien puede ser expresada}} \hfill \\<br />  {\text{con la siguiente formula}} \hfill \\<br />   \hfill \\<br />  area\vartriangle  = \sqrt {s(s - a)(s - b)(s - c)}  = \frac{{\rho {\text{(a + b + c)}}}}<br />{2} \hfill \\ <br />\end{gathered} <br />\]<br />

TEX: % MathType!MTEF!2!1!+-<br />% feaafiart1ev1aaatCvAUfeBSjuyZL2yd9gzLbvyNv2CaerbuLwBLn<br />% hiov2DGi1BTfMBaeXatLxBI9gBaerbd9wDYLwzYbItLDharqqtubsr<br />% 4rNCHbGeaGqiVu0Je9sqqrpepC0xbbL8F4rqqrFfpeea0xe9Lq-Jc9<br />% vqaqpepm0xbba9pwe9Q8fs0-yqaqpepae9pg0FirpepeKkFr0xfr-x<br />% fr-xb9adbaqaaeGaciGaaiaabeqaamaabaabaaGceaqabeaacaWGKb<br />% Gaam4Baiaad6gacaWGKbGaamyzaiaacQdaaeaaaeaacaWGZbGaeyyp<br />% a0ZaaSaaaeaacaqGOaGaaeyyaiaabUcacaqGIbGaae4kaiaabogaca<br />% qGPaaabaGaaGOmaaaaaeaaaeaacaWGYbGaamyzaiaadwgacaWGTbGa<br />% amiCaiaadYgacaWGHbGaamOEaiaadggacaWGTbGaam4Baiaadohaca<br />% GG6aaabaaabaWaaSaaaeaacaaIXaaabaGaaGOmaiabgwSixpaalaaa<br />% baGaeqyWdiNaaeikaiaabggacaqGRaGaaeOyaiaabUcacaqGJbGaae<br />% ykaaqaaiaaikdaaaaaaiabgwSixlaacIcacaWGHbGaey4kaSIaamOy<br />% aiabgUcaRiaadogacaGGPaGaeyypa0ZaaSaaaeaacaaIXaaabaGaeq<br />% yWdiNaaiikaiaadggacqGHRaWkcaWGIbGaey4kaSIaam4yaiaacMca<br />% aaGaeyyXICTaaiikaiaadggacqGHRaWkcaWGIbGaey4kaSIaam4yai<br />% aacMcacqGHuhY2daqjuaqaamaalaaabaGaaGymaaqaaiabeg8aYbaa<br />% aaaabaaabaGaamyzaiaad6gacaWG0bGaam4Baiaad6gacaWGJbGaam<br />% yzaiaadohaaeaaaeaadaqjEaqaamaalaaabaGaaGymaaqaaiaadIga<br />% caWGHbaaaiabgUcaRmaalaaabaGaaGymaaqaaiaadIgacaWGIbaaai<br />% abgUcaRmaalaaabaGaaGymaaqaaiaadIgacaWGJbaaaiabg2da9maa<br />% laaabaGaaGymaaqaaiabeg8aYbaaaaGaaeiiaiaabgfacaqGUaGaae<br />% yraiaab6cacaqGebaaaaa!937A!<br />\[<br />\begin{gathered}<br />  donde: \hfill \\<br />   \hfill \\<br />  s = \frac{{{\text{(a + b + c)}}}}<br />{2} \hfill \\<br />   \hfill \\<br />  reemplazamos: \hfill \\<br />   \hfill \\<br />  \frac{1}<br />{{2 \cdot \frac{{\rho {\text{(a + b + c)}}}}<br />{2}}} \cdot (a + b + c) = \frac{1}<br />{{\rho (a + b + c)}} \cdot (a + b + c) \Leftrightarrow \left. {\underline {\, <br /> {\frac{1}<br />{\rho }} \,}}\! \right|  \hfill \\<br />   \hfill \\<br />  entonces \hfill \\<br />   \hfill \\<br />  \boxed{\frac{1}<br />{{ha}} + \frac{1}<br />{{hb}} + \frac{1}<br />{{hc}} = \frac{1}<br />{\rho }}{\text{ Q}}{\text{.E}}{\text{.D}} \hfill \\ <br />\end{gathered} <br />\]<br />

si es necesario demostrar alguna igualdad o explicar algun paso, solo posteenlo smile.gif

saludos jpt_chileno.gif

editado: siempre que escribo mucho en mathytipe me sale tex error tongue.gif

Mensaje modificado por naxoobkn el Jan 31 2008, 08:07 PM


--------------------

INRIA - Francia, Sophia Antipolis
Biocore Team
Ingeniero Civil en Biotecnología
Ingeniería Civil Químico




“(…) los elementos que él (¿o Él?) [Dios] mismo nos ha dado (raciocinio, sensibilidad, intuición) no son en absoluto suficientes como para garantizarnos ni su existencia ni su no existencia. Gracias a una corazonada puedo creer en Dios y acertar o no creer en Dios y también acertar"

Mario Benedetti


TEX: \[\iiint\limits_\Omega  {\left( {\nabla  \cdot \vec F} \right)dV} = \iint\limits_{\partial \Omega } {\left( {\vec F \cdot \hat n} \right)}dS\]<br />
Go to the top of the page
 
+Quote Post
fs_tol
mensaje Jan 31 2008, 09:35 PM
Publicado: #6


Dios Matemático Supremo
Ícono de Grupo

Grupo: Usuario FMAT
Mensajes: 670
Registrado: 30-January 06
Desde: Ñuñoa, Santiago
Miembro Nº: 524
Nacionalidad:
Universidad: Universidad de Chile-FCFM
Sexo:



CITA(naxoobkn @ Jan 31 2008, 06:12 PM) *
TEX: % MathType!MTEF!2!1!+-<br />% feaafiart1ev1aaatCvAUfeBSjuyZL2yd9gzLbvyNv2CaerbuLwBLn<br />% hiov2DGi1BTfMBaeXatLxBI9gBaerbd9wDYLwzYbItLDharqqtubsr<br />% 4rNCHbGeaGqiVu0Je9sqqrpepC0xbbL8F4rqqrFfpeea0xe9Lq-Jc9<br />% vqaqpepm0xbba9pwe9Q8fs0-yqaqpepae9pg0FirpepeKkFr0xfr-x<br />% fr-xb9adbaqaaeGaciGaaiaabeqaamaabaabaaGceaqabeaacaqGJb<br />% Gaae4Baiaab6gacaqGVbGaae4yaiaabMgacaqGLbGaaeOBaiaabsga<br />% caqGVbGaaeiiaiaabYgacaqGHbGaaeiiaiaabAgacaqGVbGaaeOCai<br />% aab2gacaqG1bGaaeiBaiaabggacaqG6aaabaaabaGaae4CaiaabMga<br />% caqGUbGaaeyqaiaab2cacaqGZbGaaeyAaiaab6gacaqGcbGaaeypai<br />% aabkdacaqGZbGaaeyAaiaab6gadaqadaqaamaalaaabaGaaeyqaiaa<br />% b2cacaqGcbaabaGaaeOmaaaaaiaawIcacaGLPaaacqGHflY1ciGGJb<br />% Gaai4BaiaacohadaqadaqaamaalaaabaGaamyqaiabgUcaRiaadkea<br />% aeaacaaIYaaaaaGaayjkaiaawMcaaaqaaaqaaiaabchacaqGHbGaae<br />% OCaiaabggacaqGGaGaaeOzaiaabggacaqGJbGaaeyAaiaabYgacaqG<br />% PbGaaeizaiaabggacaqGKbGaaeiiaiaabsgacaqGLbGaaeiiaiaabw<br />% gacaqGZbGaae4yaiaabkhacaqGPbGaaeiDaiaabwhacaqGYbGaaeyy<br />% aiaabccacaqGLbGaaeOBaiaabccacaqGTbGaaeyyaiaabshacaqGOb<br />% GaaeiDaiaabMhacaqGWbGaaeyzaiaabccacaqG4bGaaeypaiabeI7a<br />% XbqaaaqaaiGacohacaGGPbGaaiOBaiaaiwdacaWG4bGaeyOeI0Iaci<br />% 4CaiaacMgacaGGUbGaaG4maiaadIhacqGH9aqpdaGcaaqaaiaaikda<br />% aSqabaGcciGGJbGaai4BaiaacohacaaI0aGaamiEaaqaaaqaaiaaik<br />% daciGGZbGaaiyAaiaac6gadaqadaqaamaalaaabaGaaGynaiaadIha<br />% cqGHsislcaaIZaGaamiEaaqaaiaaikdaaaaacaGLOaGaayzkaaGaey<br />% yXICTaci4yaiaac+gacaGGZbWaaeWaaeaadaWcaaqaaiaaiwdacaWG<br />% 4bGaey4kaSIaaG4maiaadIhaaeaacaaIYaaaaaGaayjkaiaawMcaai<br />% abg2da9maakaaabaGaaGOmaaWcbeaakiGacogacaGGVbGaai4Caiaa<br />% isdacaWG4baabaaabaGaaGOmaiGacohacaGGPbGaaiOBaiaadIhacq<br />% GHflY1ciGGJbGaai4BaiaacohacaaI0aGaamiEaiabg2da9maakaaa<br />% baGaaGOmaaWcbeaakiGacogacaGGVbGaai4CaiaaisdacaWG4baaba<br />% aabaGaci4CaiaacMgacaGGUbGaamiEaiabg2da9maalaaabaWaaOaa<br />% aeaacaaIYaaaleqaaaGcbaGaaGOmaaaaaeaaaeaadaqjEaqaaiaadI<br />% hacqGH9aqpcaaI0aGaaGynaaaaaaaa!D428!<br />\[<br />\begin{gathered}<br />  {\text{conociendo la formula:}} \hfill \\<br />   \hfill \\<br />  {\text{sinA - sinB = 2sin}}\left( {\frac{{{\text{A - B}}}}<br />{{\text{2}}}} \right) \cdot \cos \left( {\frac{{A + B}}<br />{2}} \right) \hfill \\<br />   \hfill \\<br />  {\text{para facilidad de escritura en mathtype x = }}\theta  \hfill \\<br />   \hfill \\<br />  \sin 5x - \sin 3x = \sqrt 2 \cos 4x \hfill \\<br />   \hfill \\<br />  2\sin \left( {\frac{{5x - 3x}}<br />{2}} \right) \cdot \cos \left( {\frac{{5x + 3x}}<br />{2}} \right) = \sqrt 2 \cos 4x \hfill \\<br />   \hfill \\<br />  2\sin x \cdot \cos 4x = \sqrt 2 \cos 4x \hfill \\<br />   \hfill \\<br />  \sin x = \frac{{\sqrt 2 }}<br />{2} \hfill \\<br />   \hfill \\<br />  \boxed{x = 45} \hfill \\ <br />\end{gathered} <br />\]<br />

saludos smile.gif

editado: con respeto a la 1 se podria decir que p (rho) es circunradio?

¿Qué pasa si TEX: $\cos(4x)=0$? Además 45º no es la única solución de TEX: $\sin(x)=\dfrac{1}{\sqrt{2}}$
Saludos


--------------------


TEX: $CARITA$
Go to the top of the page
 
+Quote Post
Ictio
mensaje Jan 31 2008, 10:08 PM
Publicado: #7


Dios Matemático
Ícono de Grupo

Grupo: Usuario FMAT
Mensajes: 309
Registrado: 28-July 07
Desde: Copiapó-Santiago
Miembro Nº: 7.899
Nacionalidad:
Universidad: Universidad de Chile-FCFM
Sexo:



CITA(Abu-Khalil @ Jan 4 2008, 01:01 AM) *
No sé si ta bn, pq no sé trabajar mucho con ecuaciones trigonométricas pero al menos el resultado tiene sentido D: !



Solución alternativa

Primero, recordaremos un par de hechos conocidos:
TEX: Recuerdo: \\<br />\begin{equation*}<br />\begin{aligned}<br />\cos \theta &= \sqrt{1-\operatorname{sen}^2 \theta }\\<br />\cos (\operatorname{arcsen} x) &= \sqrt{1-x^2}\\<br />\\<br />\operatorname{sen} \theta &= \sqrt{1-\cos^2 \theta }\\<br />\operatorname{sen} (\arccos x) &= \sqrt{1-x^2}<br />\end{aligned}<br />\end{equation*}<br />Tenemos por resolver <br />\begin{equation*}<br />\begin{aligned}<br />\arccos{x} - \arcsin{x} &= \arccos{x\sqrt{3}} \qquad \big/ \cos ( )\\<br />\cos (\arccos x - \operatorname{arcsen} x) &= x\sqrt 3\\<br />x\cdot \cos (\operatorname{arcsen} x) + x\cdot \operatorname{sen} (\arccos x) &= x\sqrt 3\\<br />\not x \cdot (\cos (\operatorname{arcsen} x) + \operatorname{sen} (\arccos x)) &= \not x \sqrt 3\\<br />\sqrt{1-x^2} + \sqrt{1-x^2} &= \sqrt 3\\<br />2\sqrt{1-x^2} &= \sqrt 3 \qquad \big/ ( )^2 \\<br />4(1-x^2) &= 3\\<br />4-4x^2 &= 3\\<br />4x^2 &= 1\\<br />x^2 &= \dfrac14 \\<br />x &= \pm \dfrac12<br />\end{aligned}<br />\end{equation*}<br /><br />Si no me equivoco, $\arccos$ no admite valores negativos en su dominio por lo que $x$ sería $\dfrac12$


--------------------




Go to the top of the page
 
+Quote Post

Reply to this topicStart new topic
1 usuario(s) está(n) leyendo esta discusión (1 invitado(s) y 0 usuario(s) anónimo(s))
0 miembro(s):

 

Versión Lo-Fi Fecha y Hora actual: 30th October 2025 - 11:27 AM